第三章习题
计算题1

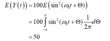
期望
由期望定义:

期望的计算: 点击查看更多
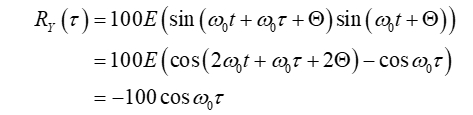
相关函数

期望的计算: 点击查看更多
讨论广义平稳性
依据:
- Y的期望是一个常数
- Y的相关函数与变量t无关
说明:Y具有广义平稳性
计算题2

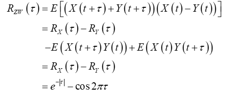
计算Z的自相关函数
由自相关函数的定义:

计算W的自相关函数
类似地

计算Z和W的互相关函数

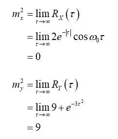
计算题4

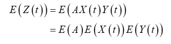
均值
由A、X、Y两两独立,

考虑自相关函数的性质:

显然:

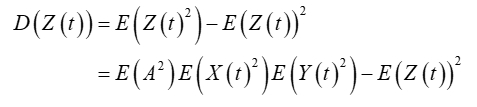
方差
由方差计算公式:

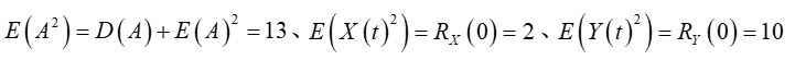
其中,

显然

自相关函数

未完待续
- 标题: 第三章习题
- 作者: JinYu
- 创建于 : 2023-09-26 08:58:39
- 更新于 : 2023-09-26 10:41:34
- 链接: https://redefine.ohevan.com/2023/09/26/第三章习题/
- 版权声明: 本文章采用 CC BY-NC-SA 4.0 进行许可。
评论