第四章作业思路分享
1 前置知识(支路追加法)
Step-1:追加树支
- 在参考节点上,追加树支;只有自阻抗位置元素是新增的阻抗值,其余位置元素都是
0 - 在非参考节点上,追加树支
- 自阻抗位置元素为被追加节点自阻抗与新增阻抗值的和
- 新增行、列其余位置元素,与被追加支路与其他节点的互阻抗相同
Folding 如此追加树支的原因: 点击查看更多
这里实际上并不要求掌握
从节点阻抗矩阵的的定义出发,考虑追加树枝网络的拓扑结构

节点阻抗矩阵各元素的定义:
- 自阻抗:从某节点注入单位电流,在该节点测得的电压
- 互阻抗:从某节点注入单位电流,在其他节点测得的电压
实际上,在节点i追加树支(引入节点i+1)并在节点i+1注入单位电流,对于除节点i+1以外的其他节点而言,与在节点i注入单位电流并没有区别。
因为节点i+1是通过追加的树支与网络连接的,因此,节点i+1的自阻抗是节点i的自阻抗与追加树支阻抗的和。
Step-2:追加连支
方法
- 确定
Am阵 - 计算公式中相关量
注意:
- 每次只增加一条连支
- 每次增加连支,节点阻抗矩阵的修正形式如下:

2 作业思路
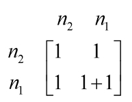
追加树支b2
相当于从0矩阵追加树支b1,并引入节点2;矩阵如下:

追加树支b1、b3
追加b1、b3无本质区别,这里只讨论b1的情况
根据追加树支的原则,b1加在了节点n2(非参考节点)上

追加连支b3
这里只给出了
A阵
特别注意:节点n2是第一个引入的,因此,A阵第一个元素应讨论n2节点与b3支路的关系
故此,A阵如下:

剩下的工作就是计算追加支路后的Zn阵
补充说明
因为本题已经给定了支路追加的顺序;因此看起来支路追加法应采用“先树支后连支”的方法。
实际上,对于一个给定代求的网络,可能树支和连支交替追加可能求解起来更为简便。
这是因为:进行一次连支的追加计算,就是一个十分庞大的工程;因此趁节点阻抗矩阵阶数低的情况下,完成几个连支的追加是有利于节省储存容量、提高计算速度的。
3 程序
为了验证手算结果的准确性,笔者基于Matlab编写了程序用以验证。
- 标题: 第四章作业思路分享
- 作者: JinYu
- 创建于 : 2023-09-19 20:59:00
- 更新于 : 2023-09-23 08:15:51
- 链接: https://redefine.ohevan.com/2023/09/19/第四章作业思路分享/
- 版权声明: 本文章采用 CC BY-NC-SA 4.0 进行许可。
评论